STEM版,合并数学,物理,化学,科学,工程,机械。不包括生物、医学相关,和计算机相关内容。
版主: verdelite, TheMatrix
-
(ツ)(污坛忍者)楼主
- 知名作家

- 帖子互动: 54
- 帖子: 1091
- 注册时间: 2023年 6月 2日 12:38
帖子
由 (ツ)(污坛忍者)楼主 »
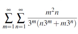
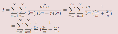
某年普特难,好像也不是特别难,可以随便练练

x1
-
(ツ)(污坛忍者)楼主
- 知名作家

- 帖子互动: 54
- 帖子: 1091
- 注册时间: 2023年 6月 2日 12:38
帖子
由 (ツ)(污坛忍者)楼主 »
(ツ) 写了: 2023年 7月 12日 17:03
某年普特难,好像也不是特别难,可以随便练练
我特么是懂了,本版都是上班摸鱼的主
下班后是没人看的
x1
-
cng(papabear)
- 论坛元老

- 帖子互动: 1059
- 帖子: 16367
- 注册时间: 2022年 9月 11日 03:58
帖子
由 cng(papabear) »
在等28nm做ChatGPT的指令,預計2031年完成。
raebapap
-
TheMatrix
- 论坛支柱

2024年度优秀版主
TheMatrix 的博客
- 帖子互动: 276
- 帖子: 13597
- 注册时间: 2022年 7月 26日 00:35
帖子
由 TheMatrix »
(ツ) 写了: 2023年 7月 12日 17:03
某年普特难,好像也不是特别难,可以随便练练
可以看出是收敛的。:)
-
(ツ)(污坛忍者)楼主
- 知名作家

- 帖子互动: 54
- 帖子: 1091
- 注册时间: 2023年 6月 2日 12:38
帖子
由 (ツ)(污坛忍者)楼主 »
-
(ツ)(污坛忍者)楼主
- 知名作家

- 帖子互动: 54
- 帖子: 1091
- 注册时间: 2023年 6月 2日 12:38
帖子
由 (ツ)(污坛忍者)楼主 »
-
TheMatrix
- 论坛支柱

2024年度优秀版主
TheMatrix 的博客
- 帖子互动: 276
- 帖子: 13597
- 注册时间: 2022年 7月 26日 00:35
帖子
由 TheMatrix »
(ツ) 写了: 2023年 7月 14日 11:37
不错啊。分离变量了。
分母相加那项怎么求级数呢?
-
(ツ)(污坛忍者)楼主
- 知名作家

- 帖子互动: 54
- 帖子: 1091
- 注册时间: 2023年 6月 2日 12:38
帖子
由 (ツ)(污坛忍者)楼主 »
TheMatrix 写了: 2023年 7月 14日 11:46
不错啊。分离变量了。
分母相加那项怎么求级数呢?
用partial fraction呀,
-
YWY(夜未央)
- 论坛元老

2023-24年度十大优秀网友
- 帖子互动: 1340
- 帖子: 14419
- 注册时间: 2022年 7月 22日 17:25
帖子
由 YWY(夜未央) »
(ツ) 写了: 2023年 7月 14日 11:56
用partial fraction呀,
我不会做,等答案。
持仓抄底锁利,你钱你定
看牛观猪喊熊,自娱自乐
股市变幻莫测,不作不死
赌途曲折无常,吃枣药丸
-
(ツ)(污坛忍者)楼主
- 知名作家

- 帖子互动: 54
- 帖子: 1091
- 注册时间: 2023年 6月 2日 12:38
帖子
由 (ツ)(污坛忍者)楼主 »
YWY 写了: 2023年 7月 14日 13:11
我不会做,等答案。
公布了,真不特难。后面那个级数很好算
原题在这里看到的,解法稍微一点点不同
-
肚欲鸣(没想到啊没想到)
- 论坛精英

肚欲鸣 的博客
- 帖子互动: 793
- 帖子: 7567
- 注册时间: 2022年 12月 3日 11:51
帖子
由 肚欲鸣(没想到啊没想到) »
(ツ) 写了: 2023年 7月 12日 17:03
某年普特难,好像也不是特别难,可以随便练练
你这个干嘛使的?能赚钱吗?搞这个没动力呀。
Pig get fat, hog get slaught.
幼发拉底鳖抬龟头遥望美国
-
TheMatrix
- 论坛支柱

2024年度优秀版主
TheMatrix 的博客
- 帖子互动: 276
- 帖子: 13597
- 注册时间: 2022年 7月 26日 00:35
帖子
由 TheMatrix »
(ツ) 写了: 2023年 7月 14日 14:14
公布了,真不特难。后面那个级数很好算
原题在这里看到的,解法稍微一点点不同
不错。
I 能算吗?
-
(ツ)(污坛忍者)楼主
- 知名作家

- 帖子互动: 54
- 帖子: 1091
- 注册时间: 2023年 6月 2日 12:38
帖子
由 (ツ)(污坛忍者)楼主 »
-
(ツ)(污坛忍者)楼主
- 知名作家

- 帖子互动: 54
- 帖子: 1091
- 注册时间: 2023年 6月 2日 12:38
帖子
由 (ツ)(污坛忍者)楼主 »
肚欲鸣 写了: 2023年 7月 14日 14:19
你这个干嘛使的?能赚钱吗?搞这个没动力呀。
走错片场了!?
-
Jack12345
- 论坛支柱

2023年度优秀版主
- 帖子互动: 640
- 帖子: 9207
- 注册时间: 2022年 7月 22日 11:46
帖子
由 Jack12345 »
肚欲鸣 写了: 2023年 7月 14日 14:19
你这个干嘛使的?能赚钱吗?搞这个没动力呀。
防止 老年痴呆啊
-
TheMatrix
- 论坛支柱

2024年度优秀版主
TheMatrix 的博客
- 帖子互动: 276
- 帖子: 13597
- 注册时间: 2022年 7月 26日 00:35
帖子
由 TheMatrix »
(ツ) 写了: 2023年 7月 14日 14:23
I = 0.5(J)^2,J好算
哦。哈哈。我就说怎么又回去了。这个
I就是原式的
I。
-
YWY(夜未央)
- 论坛元老

2023-24年度十大优秀网友
- 帖子互动: 1340
- 帖子: 14419
- 注册时间: 2022年 7月 22日 17:25
帖子
由 YWY(夜未央) »
(ツ) 写了: 2023年 7月 14日 14:14
公布了,真不特难。后面那个级数很好算
原题在这里看到的,解法稍微一点点不同
学习了
持仓抄底锁利,你钱你定
看牛观猪喊熊,自娱自乐
股市变幻莫测,不作不死
赌途曲折无常,吃枣药丸