知乎上看到的

STEM版,合并数学,物理,化学,科学,工程,机械。不包括生物、医学相关,和计算机相关内容。

版主: verdeliteTheMatrix

回复
头像
TheMatrix楼主
论坛支柱
论坛支柱
2024年度优秀版主
TheMatrix 的博客
帖子互动: 277
帖子: 13624
注册时间: 2022年 7月 26日 00:35

#1 知乎上看到的

帖子 TheMatrix楼主 »

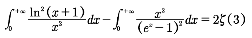
不一定对:

图片
头像
TheMatrix楼主
论坛支柱
论坛支柱
2024年度优秀版主
TheMatrix 的博客
帖子互动: 277
帖子: 13624
注册时间: 2022年 7月 26日 00:35

#2 Re: 知乎上看到的

帖子 TheMatrix楼主 »

TheMatrix 写了: 2024年 1月 16日 13:41 不一定对:

图片
算了一下。确实是对的。
回复

回到 “STEM”